Islamic Calligraphy

DUALITY OF TIME:

Complex-Time Geometry and Perpetual Creation of Space

by Mohamed Haj Yousef



Search Inside this Book


3.3.5  Singularities and Black Holes


For ordinary stars and planets, the radiusof the gravitating mass, is much larger than its Schwarzschild radius. For example, the radius of the Sun is approximately 700,000 km, while its Schwarzschild radius is only 3 km. The radius of the Earth is 6,371 km, while its Schwarzschild radius is only 8.9 mm. This means that if the mass of the Earth is compressed to a sphere with 8.9 mm radius, it becomes a black hole with a singularity at.

The sphere atdivides the Schwarzschild coordinates in two disconnected patches with two different solutions. The exterior solution withis the one that is related to the gravitational fields of stars and planets, while the interior solution with, which contains the singularity at, is completely separated from the outer patch.

The singularity atarises from a bad choice of coordinates or coordinate conditions. Using a different coordinate transformation, such as: Lemaitre coordinates, Eddington-Finkelstein coordinates, Kruskal-Szekeres coordinates, Novikov coordinates, or Gullstrand-Painleve coordinates, one can then relate the extended external patch to the inner patch.

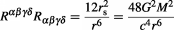
However, the case whenis a true physical singularity at the origin. To see that this is a true singularity one must look at quantities that are independent of the choice of coordinates. One such important quantity is the Kretschmann invariant, which is given by:

(3.14)

Atthe curvature becomes infinite, indicating the presence of a singularity. At this point, the metric, and space-time itself, is no longer well-defined. For a long time it was thought that such a solution was non-physical. However, a greater understanding of General Relativity led to the realization that such singularities were a generic feature of the theory and not just an exotic special case.

The Schwarzschild solution, taken to be valid for all, is called a Schwarzschild black hole. It is a perfectly valid solution of the Einstein field equations, although it has some rather bizarre properties. Forthe Schwarzschild radial coordinatebecomes time-like and the time coordinatebecomes space-like. A curve at constantis no longer a possible world-line of a particle or observer, not even if a force is exerted to try to keep it there; this occurs because space-time has been curved so much that the direction of cause and effect points into the singularity.

The surfacedemarcates the event horizon of the black hole, which represents the point past which light can no longer escape the gravitational field. Any physical object whose radius becomes less than or equal to the Schwarzschild radius will undergo gravitational collapse and become a black hole.



  previous page

contents

next page  

Read Other Books:

Single Monad Model of the Cosmos
The Single Monad Model of the Cosmos: Ibn Arabi's View of Time and Creation
The Duality of Time Theory
The Duality of Time Theory: Complex-Time Geometry and Perpertual Creation of Space
The Duality of Time Theory
The Ultimate Symmetry: Fractal Complex-Time and Quantum Gravity
The Chest of Time
The Chest of Time: Particle-Wave Duality: from Time Confinement to Space Transcendence

Read this short concise exploration of the Duality of Time Postulate:

he Duality of Time Postulate
DoT: The Duality of Time Postulate and Its Consequences on General Relativity and Quantum Mechanics

Other Pages Related to Search Keywords:

  • ... Monadology =>:

  • ... Space Transcendence Read this short concise exploration of the Duality of Time Postulate: DoT: The Duality of Time Postulate and Its Consequences on General Relativity and Quantum Mechanics ...


  • ... Mohamed Haj Yousef =>:

  • ... Time Postulate: DoT: The Duality of Time Postulate and Its Consequences on General Relativity and Quantum Mechanics ...


  • ... Relativity And Quantum Mechanics =>:

  • ... uality: from Time Confinement to Space Transcendence Read this short concise exploration of the Duality of Time Postulate: DoT: The Duality of Time Postulate and Its Consequences on General Relativity and Quantum Mechanics ...


  • ... Concise Exploration =>:

  • ... tual Creation of Space The Ultimate Symmetry: Fractal Complex-Time and Quantum Gravity The Chest of Time: Particle-Wave Duality: from Time Confinement to Space Transcendence Read this short CONCISE EXPLORATION of the Duality of Time Postulate: DoT: The Duality of Time Postulate and Its Con ...


  • ... Short Concise =>:

  • ... Perpertual Creation of Space The Ultimate Symmetry: Fractal Complex-Time and Quantum Gravity The Chest of Time: Particle-Wave Duality: from Time Confinement to Space Transcendence Read this SHORT CONCISE exploration of the Duality of Time Postulate: DoT: The Duality of Time Postulate and I ...


  • ... Transcendence Read =>:

  • ... mplex-Time Geometry and Perpertual Creation of Space The Ultimate Symmetry: Fractal Complex-Time and Quantum Gravity The Chest of Time: Particle-Wave Duality: from Time Confinement to Space Transcendence Read this short concise exploration of the Duality of Time Postulate: DoT: The Duality ...


  • ... Perpertual Creation =>:

  • ... rty of the physical system.     Read Other Books: The Single Monad Model of the Cosmos: Ibn Arabi's View of Time and Creation The Duality of Time Theory: Complex-Time Geometry and Perpertual Creation of Space The Ultimate Symmetry: Fractal Complex-Time and Quantum Gravity The Che ...


  • ... Yousef Search =>:

  • ... ate: DoT: The Duality of Time Postulate and Its Consequences on General Relativity and Quantum Mechanics ...


  • ... Perpetual Creation =>:

  • ... e exploration of the Duality of Time Postulate: DoT: The Duality of Time Postulate and Its Consequences on General Relativity and Quantum Mechanics ...


  • ... Quantum Mechanical =>:

  • ... he world itself, while the first have been described as a revival of immaterialism, such as the concept of John Wheeler (1911-2008): “it from bit”. According to these views, the QUANTUM MECHANICAL state is not an objective property of an individual system, rather: it is the inf ...


  • ... Physical Process =>:

  • ... d that the state vector is an objective property of the system. The “reduction of the wavepacket” does take place in the consciousness of the observer, not because of any unique PHYSICAL PROCESS which takes place there, but only because the state is a construct of the observer ...


  • ... Mohamed Haj =>:

  • ... Time Postulate: DoT: The Duality of Time Postulate and Its Consequences on General Relativity and Quantum Mechanics ...


Welcome to the Single Monad Model of the Cosmos and Duality of Time Theory
Forgot Password? - [Register]

Message from the Author:

I have no doubt that this is the most significant discovery in the history of mathematics, physics and philosophy, ever!

By revealing the mystery of the connection between discreteness and contintuity, this novel understanding of the complex (time-time) geometry, will cause a paradigm shift in our knowledge of the fundamental nature of the cosmos and its corporeal and incorporeal structures.

Enjoy reading...

Mohamed Haj Yousef


Check this detailed video presentation on "Deriving the Principles of Special, General and Quantum Relativity Based on the Single Monad Model Cosmos and Duality of Time Theory".

Download the Book "DOT: The Duality of Time Postulate and Its Consequences on General Relativity and Quantum Mechanics" or: READ ONLINE .....>>>>



Subsribe to Newsletter:


My soul is from elsewhere, I'm sure of that, and I intend to end up there.
Jalaluddin Rumi [The Essential Rumi - trns. Coleman Barks]
quote