Islamic Calligraphy

DUALITY OF TIME:

Complex-Time Geometry and Perpetual Creation of Space

by Mohamed Haj Yousef



Search Inside this Book


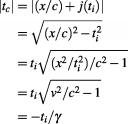
5.2.3  The Proper Time


We can clearly see from Figure 5.1 that space-time intervals can be obtained from:, or, because the modulus of hyperbolic or split-complex numbersis calculated according to the formula:.

Alternatively, instead of the classical space-time interval, we can use the time-time interval which is the modulus of the complex time:, where, orfor motion on x-axis only.

Thus it can be also readily seen from Figure 5.1 that the modulus of this complex time equals negative the proper time as defined in the current equations of Special Relativity:

(5.1)

Hence:

(5.2)

The reason why the modulus of complex time:, or its imaginary part:, is negative with relation to proper time:, whereis the normal measured time, is because the (imaginary) flow of time in the outward levelis interrupting and delaying the real flow of time that is creating space and matter:, so the actual (net value of) time is always smaller than the real time:.



  previous page

contents

next page  

Read Other Books:

Single Monad Model of the Cosmos
The Single Monad Model of the Cosmos: Ibn Arabi's View of Time and Creation
The Duality of Time Theory
The Duality of Time Theory: Complex-Time Geometry and Perpertual Creation of Space
The Duality of Time Theory
The Ultimate Symmetry: Fractal Complex-Time and Quantum Gravity
The Chest of Time
The Chest of Time: Particle-Wave Duality: from Time Confinement to Space Transcendence

Read this short concise exploration of the Duality of Time Postulate:

he Duality of Time Postulate
DoT: The Duality of Time Postulate and Its Consequences on General Relativity and Quantum Mechanics

Other Pages Related to Search Keywords:

  • ... Islamic Cosmology =>:

  • ... os and Duality of Time Theory, authored by Mohamed Haj Yousef, in addition to some other related books about the Islamic concept of time and its implications on modern physics and cosmology. ...


  • ... Ibn Al-Arabi =>:

  • ... os and Duality of Time Theory, authored by Mohamed Haj Yousef, in addition to some other related books about the Islamic concept of time and its implications on modern physics and cosmology. ...


  • ... Mohamed Haj Yousef =>:

  • ... t the Islamic concept of time and its implications on modern physics and cosmology. ...


  • ... Single Monad Model =>:

  • ... hored by Mohamed Haj Yousef, in addition to some other related books about the Islamic concept of time and its implications on modern physics and cosmology. ...


  • ... Duality Of Time =>:

  • ... ion to some other related books about the Islamic concept of time and its implications on modern physics and cosmology. ...


  • ... Ultimate Symmetry =>:

  • ... os and Duality of Time Theory, authored by Mohamed Haj Yousef, in addition to some other related books about the Islamic concept of time and its implications on modern physics and cosmology. ...


  • ... Cosmology =>:

  • ... f the Cosmos and Duality of Time Theory, authored by Mohamed Haj Yousef, in addition to some other related books about the Islamic concept of time and its implications on modern physics and cosmology. ...


  • ... Time =>:

  • ... other related books about the Islamic concept of time and its implications on modern physics and cosmology. ...


  • ... Space-Time =>:

  • ... os and Duality of Time Theory, authored by Mohamed Haj Yousef, in addition to some other related books about the Islamic concept of time and its implications on modern physics and cosmology. ...


  • ... Spacetime =>:

  • ... os and Duality of Time Theory, authored by Mohamed Haj Yousef, in addition to some other related books about the Islamic concept of time and its implications on modern physics and cosmology. ...


  • ... Special Relativity =>:

  • ... os and Duality of Time Theory, authored by Mohamed Haj Yousef, in addition to some other related books about the Islamic concept of time and its implications on modern physics and cosmology. ...


  • ... General Relativity =>:

  • ... os and Duality of Time Theory, authored by Mohamed Haj Yousef, in addition to some other related books about the Islamic concept of time and its implications on modern physics and cosmology. ...


  • ... Quantum Mechanics =>:

  • ... os and Duality of Time Theory, authored by Mohamed Haj Yousef, in addition to some other related books about the Islamic concept of time and its implications on modern physics and cosmology. ...


  • ... Quantum Field Theory =>:

  • ... os and Duality of Time Theory, authored by Mohamed Haj Yousef, in addition to some other related books about the Islamic concept of time and its implications on modern physics and cosmology. ...


  • ... Speed Of Light =>:

  • ... os and Duality of Time Theory, authored by Mohamed Haj Yousef, in addition to some other related books about the Islamic concept of time and its implications on modern physics and cosmology. ...


  • ... Symmetry =>:

  • ... os and Duality of Time Theory, authored by Mohamed Haj Yousef, in addition to some other related books about the Islamic concept of time and its implications on modern physics and cosmology. ...


  • ... Supersymmetry =>:

  • ... os and Duality of Time Theory, authored by Mohamed Haj Yousef, in addition to some other related books about the Islamic concept of time and its implications on modern physics and cosmology. ...


Welcome to the Single Monad Model of the Cosmos and Duality of Time Theory
Forgot Password? - [Register]

Message from the Author:

I have no doubt that this is the most significant discovery in the history of mathematics, physics and philosophy, ever!

By revealing the mystery of the connection between discreteness and contintuity, this novel understanding of the complex (time-time) geometry, will cause a paradigm shift in our knowledge of the fundamental nature of the cosmos and its corporeal and incorporeal structures.

Enjoy reading...

Mohamed Haj Yousef


Check this detailed video presentation on "Deriving the Principles of Special, General and Quantum Relativity Based on the Single Monad Model Cosmos and Duality of Time Theory".

Download the Book "DOT: The Duality of Time Postulate and Its Consequences on General Relativity and Quantum Mechanics" or: READ ONLINE .....>>>>



Subsribe to Newsletter:


The science of Time is a noble science, that reveals the secret of Eternity. Only the Elites of Sages may ever come to know this secret. It is called the First Age, or the Age of ages, from which time is emerging.
Ibn al-Arabi [The Meccan Revelations: Volume I, page 156. - Trns. Mohamed Haj Yousef]
quote