The Duality of Time Theory, that results from the Single Monad Model of the Cosmos, explains how physical multiplicity is emerging from absolute (metaphysical) Oneness, at every instance of our normal time! This leads to the Ultimate Symmetry of space and its dynamic formation and breaking into the physical and psychical (supersymmetrical) creations, in orthogonal time directions. General Relativity and Quantum Mechanics are complementary consequences of the Duality of Time Theory, and all the fundamental interactions become properties of the new granular complex-time geometry, at different dimensions. - => Conference Talk - Another Conference [Detailed Presentation]
Complex-Time Geometry and Perpetual Creation of Space
It was originally shown by Poincaré that by using the mathematical trick of imaginary time, Lorentz transformation becomes a rotation between inertial frames. For example, if the space coordinates of an event in space-time relative to one frame are
, then its (primed) coordinates
with respect to another frame, that is moving with uniform velocity
with respect to the first frame, are:
, where
, and since:
, then:
.
In the complex-time frame of the Duality of Time Postulate, however, the outer time is the (genuinely) imaginary part, while the real part is the inner time that constitutes space, thus the time coordinates:
is used instead of space coordinates:
. Therefore, the above rotation equations will still be valid but with time, rather than space, coordinates:
, and then the speed of light will be the ground state, or the rest speed, so when the apparent imaginary velocity
on the outer time is zero there is still the real speed that is the constant and invariant speed of light, or in general:
. See also Figure 5.1, and also Figure 5.3.
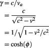
Using the concept of split-complex time, we can easily derive Lorentz boost
for example by calculating the proper time
as it can be readily seen from Figure 5.1, which is replicated in Figure 5.3 that represents complex velocity, for better clarity, and also because we want to stress the fact that the apparent (imaginary) motion in any direction is in fact interrupting the real motion in the inner time that is creating space at the speed of light, so that in the end the actual velocity is:
, which means that everything in space is intrinsically moving at the speed of light in the real flow of time, and its apparent motion in the outward time is causing an apparent (or imaginary) slow down from this real speed, so that when the object is not moving at all it is actually still moving at the speed of light, which becomes zero in relation to other stationary objects because they are all moving at this same real speed.

Figure 5.3: The actual velocity
is the modulus of split-complex velocity that combines the real speed
with the imaginary velocity
, calculated according to hyperbolic numbers, thus:
, from which we can easily calculate Lorentz boost as
.
Lorentz boost is therefore the ratio of the real velocity
over the actual velocity
, which is equal
, as demonstrated in Figure 5.3:
(5.4)
![]() |
![]() |
... os and Duality of Time Theory, authored by Mohamed Haj Yousef, in addition to some other related books about the Islamic concept of time and its implications on modern physics and cosmology. ...
... os and Duality of Time Theory, authored by Mohamed Haj Yousef, in addition to some other related books about the Islamic concept of time and its implications on modern physics and cosmology. ...
... t the Islamic concept of time and its implications on modern physics and cosmology. ...
... hored by Mohamed Haj Yousef, in addition to some other related books about the Islamic concept of time and its implications on modern physics and cosmology. ...
... ion to some other related books about the Islamic concept of time and its implications on modern physics and cosmology. ...
... os and Duality of Time Theory, authored by Mohamed Haj Yousef, in addition to some other related books about the Islamic concept of time and its implications on modern physics and cosmology. ...
... f the Cosmos and Duality of Time Theory, authored by Mohamed Haj Yousef, in addition to some other related books about the Islamic concept of time and its implications on modern physics and cosmology. ...
... other related books about the Islamic concept of time and its implications on modern physics and cosmology. ...
... os and Duality of Time Theory, authored by Mohamed Haj Yousef, in addition to some other related books about the Islamic concept of time and its implications on modern physics and cosmology. ...
... os and Duality of Time Theory, authored by Mohamed Haj Yousef, in addition to some other related books about the Islamic concept of time and its implications on modern physics and cosmology. ...
... os and Duality of Time Theory, authored by Mohamed Haj Yousef, in addition to some other related books about the Islamic concept of time and its implications on modern physics and cosmology. ...
... os and Duality of Time Theory, authored by Mohamed Haj Yousef, in addition to some other related books about the Islamic concept of time and its implications on modern physics and cosmology. ...
... os and Duality of Time Theory, authored by Mohamed Haj Yousef, in addition to some other related books about the Islamic concept of time and its implications on modern physics and cosmology. ...
... os and Duality of Time Theory, authored by Mohamed Haj Yousef, in addition to some other related books about the Islamic concept of time and its implications on modern physics and cosmology. ...
... os and Duality of Time Theory, authored by Mohamed Haj Yousef, in addition to some other related books about the Islamic concept of time and its implications on modern physics and cosmology. ...
... os and Duality of Time Theory, authored by Mohamed Haj Yousef, in addition to some other related books about the Islamic concept of time and its implications on modern physics and cosmology. ...
... os and Duality of Time Theory, authored by Mohamed Haj Yousef, in addition to some other related books about the Islamic concept of time and its implications on modern physics and cosmology. ...
I have no doubt that this is the most significant discovery in the history of mathematics, physics and philosophy, ever!
By revealing the mystery of the connection between discreteness and contintuity, this novel understanding of the complex (time-time) geometry, will cause a paradigm shift in our knowledge of the fundamental nature of the cosmos and its corporeal and incorporeal structures.![]()
Enjoy reading...
Mohamed Haj Yousef
Check this detailed video presentation on "Deriving the Principles of Special, General and Quantum Relativity Based on the Single Monad Model Cosmos and Duality of Time Theory".
Download the Book "DOT: The Duality of Time Postulate and Its Consequences on General Relativity and Quantum Mechanics" or: READ ONLINE .....>>>>