Islamic Calligraphy

DUALITY OF TIME:

Complex-Time Geometry and Perpetual Creation of Space

by Mohamed Haj Yousef



Search Inside this Book


5.3.6  Negative and Multidimensional Energy


In the same manner as in the above geometrical representation of time, velocity and momentum in Figures 5.1, 5.3 and 5.5, that are based on the complex-time frame, we can now give more dimensionality to energy, that is already hinted in the current formulation of special and General Relativity, for example through the relativistic energy-momentum equation 5.15 and the experimental fact that the cosmological constant is positive.

Since it is intimately related to time, energy has to have complex, and even multiple intersecting dimensions in accordance with the dimensions of space and matter which are generated in the inner levels of time before they evolve throughout the outer level. We must notice straightforward, however, that not all these levels of energy are associated with mass which is only a property ofspace. In lower dimensions, energy should rather be associated with the corresponding coupling property, such as the electric charge. Therefore, it is expected that negative mass is only possible inspatial dimensions, as it has been already anticipated before Petit and D’Agostini (2014).

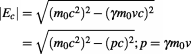
It is clear initially that, just like time, velocity and momentum that were discussed above, when we take the complex nature of time into account, the kinetic energyin equation 5.11, orin the relativistic energy-momentum equation 5.15, becomes negative with relation to the potential energystored in mass.

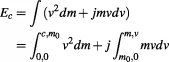
Therefore the energyin equation 5.13 becomes complexwith realand imaginaryparts. The real partrepresents re-creation through the change in mass, and the imaginary partrepresents the evolution of this mass in the outer time through the change in the apparent velocity:

(5.30)

The real part isand the imaginary part is, thus we get:

(5.31)

Figure 5.6: The complex energy is obtained by the combination of the real energy, that corresponds to the re-creation of space and matter in the inner level of time, which then evolve in the outer time, thus the normal kinetic energy becomes imaginaryor latent with relation to.

This negative contribution of the kinetic energy, however, does not falsify the current equations 5.11 and 5.15, but it means that the potential energy and the kinetic energy are in different levels of time and the conversion of potential energy into kinetic energy is like the conversion from the inner time into the outer time, so when they are in the outer time they are added together as in the previous equations because they become both in the outer level of time.

Again, just as it is the case with the absolute conservation of momentum that we have seen in section 3.5 above, energy is also always conserved, even when the apparent velocitychanges, since the instantaneous velocityin the outer level of time is always zero as we have seen in section 2 and Figure 5.1 above. As it is the case for momentum, this absolute conservation of energy is conceivable because it means that as the velocity changes, the change in kinetic energy(that is the imaginary part) is compensated by the change in the effective mass:due to motion, which causes the real part of energyalso to change accordingly, but sinceis hyperbolic, thus its modulusremains invariant between all frames. This means that:

(5.32)

This equation provides an additional method to derive the mass-energy equivalence, because the left side in this equation can be reduced to:

(5.33)

So when we combine the two equations: 5.32 and 5.33, we get the effective mass relation:that is equivalent toas we have seen above and in section 3.3.8.



  previous page

contents

next page  

Read Other Books:

Single Monad Model of the Cosmos
The Single Monad Model of the Cosmos: Ibn Arabi's View of Time and Creation
The Duality of Time Theory
The Duality of Time Theory: Complex-Time Geometry and Perpertual Creation of Space
The Duality of Time Theory
The Ultimate Symmetry: Fractal Complex-Time and Quantum Gravity
The Chest of Time
The Chest of Time: Particle-Wave Duality: from Time Confinement to Space Transcendence

Read this short concise exploration of the Duality of Time Postulate:

he Duality of Time Postulate
DoT: The Duality of Time Postulate and Its Consequences on General Relativity and Quantum Mechanics

Other Pages Related to Search Keywords:

  • ... Islamic Cosmology =>:

  • ... os and Duality of Time Theory, authored by Mohamed Haj Yousef, in addition to some other related books about the Islamic concept of time and its implications on modern physics and cosmology. ...


  • ... Ibn Al-Arabi =>:

  • ... os and Duality of Time Theory, authored by Mohamed Haj Yousef, in addition to some other related books about the Islamic concept of time and its implications on modern physics and cosmology. ...


  • ... Mohamed Haj Yousef =>:

  • ... t the Islamic concept of time and its implications on modern physics and cosmology. ...


  • ... Single Monad Model =>:

  • ... hored by Mohamed Haj Yousef, in addition to some other related books about the Islamic concept of time and its implications on modern physics and cosmology. ...


  • ... Duality Of Time =>:

  • ... ion to some other related books about the Islamic concept of time and its implications on modern physics and cosmology. ...


  • ... Ultimate Symmetry =>:

  • ... os and Duality of Time Theory, authored by Mohamed Haj Yousef, in addition to some other related books about the Islamic concept of time and its implications on modern physics and cosmology. ...


  • ... Cosmology =>:

  • ... f the Cosmos and Duality of Time Theory, authored by Mohamed Haj Yousef, in addition to some other related books about the Islamic concept of time and its implications on modern physics and cosmology. ...


  • ... Time =>:

  • ... other related books about the Islamic concept of time and its implications on modern physics and cosmology. ...


  • ... Space-Time =>:

  • ... os and Duality of Time Theory, authored by Mohamed Haj Yousef, in addition to some other related books about the Islamic concept of time and its implications on modern physics and cosmology. ...


  • ... Spacetime =>:

  • ... os and Duality of Time Theory, authored by Mohamed Haj Yousef, in addition to some other related books about the Islamic concept of time and its implications on modern physics and cosmology. ...


  • ... Special Relativity =>:

  • ... os and Duality of Time Theory, authored by Mohamed Haj Yousef, in addition to some other related books about the Islamic concept of time and its implications on modern physics and cosmology. ...


  • ... General Relativity =>:

  • ... os and Duality of Time Theory, authored by Mohamed Haj Yousef, in addition to some other related books about the Islamic concept of time and its implications on modern physics and cosmology. ...


  • ... Quantum Mechanics =>:

  • ... os and Duality of Time Theory, authored by Mohamed Haj Yousef, in addition to some other related books about the Islamic concept of time and its implications on modern physics and cosmology. ...


  • ... Quantum Field Theory =>:

  • ... os and Duality of Time Theory, authored by Mohamed Haj Yousef, in addition to some other related books about the Islamic concept of time and its implications on modern physics and cosmology. ...


  • ... Speed Of Light =>:

  • ... os and Duality of Time Theory, authored by Mohamed Haj Yousef, in addition to some other related books about the Islamic concept of time and its implications on modern physics and cosmology. ...


  • ... Symmetry =>:

  • ... os and Duality of Time Theory, authored by Mohamed Haj Yousef, in addition to some other related books about the Islamic concept of time and its implications on modern physics and cosmology. ...


  • ... Supersymmetry =>:

  • ... os and Duality of Time Theory, authored by Mohamed Haj Yousef, in addition to some other related books about the Islamic concept of time and its implications on modern physics and cosmology. ...


Welcome to the Single Monad Model of the Cosmos and Duality of Time Theory
Forgot Password? - [Register]

Message from the Author:

I have no doubt that this is the most significant discovery in the history of mathematics, physics and philosophy, ever!

By revealing the mystery of the connection between discreteness and contintuity, this novel understanding of the complex (time-time) geometry, will cause a paradigm shift in our knowledge of the fundamental nature of the cosmos and its corporeal and incorporeal structures.

Enjoy reading...

Mohamed Haj Yousef


Check this detailed video presentation on "Deriving the Principles of Special, General and Quantum Relativity Based on the Single Monad Model Cosmos and Duality of Time Theory".

Download the Book "DOT: The Duality of Time Postulate and Its Consequences on General Relativity and Quantum Mechanics" or: READ ONLINE .....>>>>



Subsribe to Newsletter:


My soul is from elsewhere, I'm sure of that, and I intend to end up there.
Jalaluddin Rumi [The Essential Rumi - trns. Coleman Barks]
quote